狭缝涂布模头(slot die)在涂布加工工艺中牵涉到的变量比较多,相对性而言较为复杂,因此针对许多对涂布品质规定不高的商品,许多企业或是喜爱应用传统式的刮板,网纹辊等涂布方法。可是针对高精密涂布加工工艺,狭缝涂布也是不二之选。
涂布全过程中的各种各样变量对涂布品质危害比较大,因此大家必须讨论一下涂布全过程中包含什么变量,每一变量也是如何危害涂布結果的。

狭缝涂布模头工艺计算变量情况
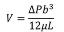
大家设想一下,在狭缝涂布全过程中,涂布溶液从料桶根据柱塞式计量泵定量分析打进模头的腔体,模头的腔体根据独特设计方案,可以匀称地把打进的溶液分散化到横着全部截面,随后根据狭缝,在一定的压力下,匀称地涂布到全部板材上,因此涂布品质和匀称性关键有涂布唇口吐出来的溶液的工作压力,流动速度和数据流量的匀称性决策。在其中的基础理论传统函数是如此的:

变量计算公式
ΔP=模头出入口工作压力降低差
b=模头狭缝空隙
μ=溶液黏度
L=狭缝竖向长度-即腔体到唇口的间距
从以上的公式计算可以认识到,狭缝的空隙针对模头唇口总流量的危害较大,换句话说狭缝全部机械设备幅宽的匀称性针对涂布薄厚的匀称性危害较大,是3三次方的关联,在换一个更简单的观点,把狭缝涂布模头的二块铁片开启,溶液从腔体流通过的平面图如果有2um的阶梯差别,那针对涂布就会有8um的误差,因此针对高精密涂布模头的加工精度就需要很高。